Home
Login
Join
Find PW
¿ì¸®±³È¸
ÆòÈÀÇ Àλç
±³È¸¼Ò°³
±³È¸¿¬Çõ
¼¶±â´Â À̵é
¿¹¹è ¹× Áýȸ
¿À½Ã´Â±æ
¼Û¾ÏTV
ÁÖÀϼ³±³
¼º°¡´ë
¼ö¿ä¼º¼¿¬±¸
ÀÌ´ÞÀÇ Âù¾ç
û³âȸ
¼Ò½Ä±¤Àå
±³È¸¼Ò½Ä
»õ°¡Á·¼Ò°³
Ãßõµµ¼
ÀÚ·á½Ç
¼Û¾Ï¾Ù¹ü
°¶·¯¸®
°´Ü²É
´ÙÀ½¼¼´ë
¾Æ±âÇб³
À¯¾ÆºÎ
À¯Ä¡ºÎ
À¯³âºÎ
ÃʵîºÎ
û¼Ò³âºÎ
¼±±³»ç¿ª
±¹³»¿Ü ¼±±³ÇöȲ
¼±±³Áö ¼Ò½Ä
±¹³»¼±±³ Ȱµ¿
ÇØ¿Ü¼±±³ Ȱµ¿
Home > ¼Ò½Ä±¤Àå > ÀÚ·á½Ç
Untitled Document
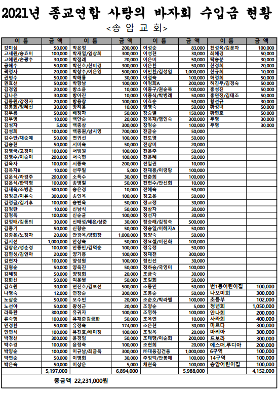
2021³â Á¾±³¹ÙÀÚȸ Çå±Ý
¼Û¾Ï±³È¸ (tree720)
2021³â 10¿ù 29ÀÏ 16½Ã 06ºÐ 54ÃÊ
412
f91214_11.PNG
[169 KBytes]
(¸¶¿ì½º ¿À¸¥ÂÊ Å¬¸¯->´Ù¸¥À̸§À¸·Î ´ë»óÀúÀå)
2021³â Á¾±³¹ÙÀÚȸ Çå±Ý
ÁÖ¼Ò : (01094) ¼¿ï½Ã °ºÏ±¸ »ï¾ç·Î 347 Tel : (02)906-4555~8 Fax : (02)906-4559
Copyright ¨Ï songam Presbyterian Church. All rights reserved. Produced by
S.L.I.M.